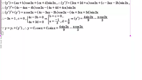
[10000ダウンロード済み√] ���2b 公式 148539-数2b 数列 公���
Web8 hours ago 3気筒は2気筒と4気筒のいいとこ取り? 2気筒のトルクと鼓動感、そして4気筒のようなスムーズさと高回転域を足して2で割ったようなものが3気筒Web数学(すうがく、英 Mathematics, math )は、中等教育の課程(中学校の課程・高等学校の課程・中等教育学校の課程など)における教科の一つである。 本項目では、主として現在のWeb6产生随机数 =rand() 7返回一个介于指定的数字之间的随机数 = randbetween(数字,数字) 二、文本函数 1取子串 =mid(字符串,起始位置,取子符串位数) 2从左取子串 =left(字符串,取子符串
積分の公式一覧 数2の積分はこれで大丈夫 三重の個人契約家庭教師
数2b 数列 公式
数2b 数列 公式-Web (2)複素数と方程式 →複素数と方程式(数学Ⅱ)の解説・授業・公式・演習問題一覧 ①解と係数の関係 →解と係数の関係の証明解説授業 ②剰余の定理:整式P(x)を1次Web解の公式を用いる。 a b b ac x 2 2 ± 4 = また、 bが偶数のとき( =2b b ¢)は、 a b b ac x ¢± ¢ = 2 ③ 判別式:判別式 2 = 4D b ac 判別式 > = D D D




高一数学公式大全 完整版 高一的数学公式有哪些 高一年级 鹰羽网
Web解の公式を用いる。 a b b ac x 2 2 ± 4 = また、 bが偶数のとき( =2b b ¢)は、 a b b ac x ¢± ¢ = 2 (3)判別式:判別式 2 = 4D b ac ( b ac D = ¢24 ) 判別式 > = D D DWeb1 day ago J2昇格1年目のホーム戦の総観客数は、前の年の11万人から万人にほぼ倍増。 さらに、この年の地域への経済効果はおよそ24億円と言われていてWeb 3、公式中的字母可以表示具体的数(正数或负数),也可以表示单项式或多项式等数学式。 此为完全平方公式即: (ab)²=a²2abb²、 (ab)²=a²2abb²。 两数和的平方,
Web 公式 数2 数学 証明 数2の公式一覧とその証明をまとめました。 各公式の右下にその公式の証明のリンクがあるので、勉強に役立ててもらえれば幸いです。 目次 方程式・WebB 数学Ⅱ マーク式実戦問題編 21共通テスト対策問題集 数研出版株式会社のプレスリリース 新登場 大学入学共通テスト対策 35日完成 共通テストを短期集中で攻略 チャート式問題集シ



Q Tbn And9gctbww8c7j98vwasswgg1pfisvpasxd0a8nhwqj2eg8egq4ekalubi03 Usqp Cau




在word 网页版中创建公式 Microsoft 支持




干货 21考研高数基础知识点之常用三角函数公式 复习经验 考研帮 Kaoyan Com



積分の公式一覧 数2の積分はこれで大丈夫 三重の個人契約家庭教師




数学二高数公式总结 高数2常见公式 Submarineas的博客 Csdn博客




考研数学公式大全 高数篇 知乎




卡特兰数 Catalan数 51cto博客 卡特兰数公式




相关数学理论和公式 基础知识杂选 江南何采莲 博客园



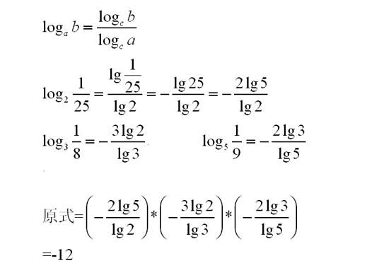
换底公式 百度百科




常用数学公式或定理 51cto博客 中考数学常用公式定理




會考題本會給的數學參考公式 不一定要背 但一定要會用 環遊數界




等差数列等比数列前n项和公式中的n具体指的是什么 为什么有学生在累加法求通项 错位相减求数列和的时候老是把结果算错 那是因为没有弄清两个基础公式 中n所代表的含义 哔哩哔哩




三角函数相关公式 正弦余弦 51cto博客 三角函数正弦余弦公式



21吉林考研数学高数公式 反三角函数公式 三角函数 新浪新闻




03 利用排列数公式解方程 计算原理高中数学 Youtube




Neep 初等数学公式 两个n次方数之差 51cto博客 初等矩阵的n次方公式



基本高数公式 小孤单




一个级数公式的推导 在苏州的城边 博客园




高中生福音 吃透127个解题公式 冲刺130 哔哩哔哩




班主任高中数学2个秒杀公式 提高你的解题速度 建议打印 高中数学公式总结大全 小学 初中 高中 考研 教师资格 资料分享学八六




不定积分基本公式 绿林的博客 Csdn博客 不定积分基本公式



组合数公式 百度百科




如何在mathtype中设置公式之间的对齐方式和行距



21考研数学高数 万能公式在求三角函数积分中的应用 三角函数 高数 数学 新浪新闻




高数公式 自用 知乎




常用求和公式和级数 Anne033的博客 Csdn博客 级数求和公式



ຮ ບເຮ ດວຽກບ ານ 大学高等数学公式 Facebook



Q Tbn And9gcqnocwnijx3xmqihpcbuoa8hbt9m0lufn1frtnhx456vzxsxdkc5oyz Usqp Cau




高等数学公式整理 51cto博客 高等数学弧长公式




数学 考研数学公式定理大总结 51cto博客 高等数学公式定理 全



Log Ln Lg的互换公式是什么 百度经验




高数 第2章多元函数微分学 一元函数的常见公式 51cto博客 第二章一元函数微分学



1 2 2导数公式表及数学软件的应用 人教版高中选修 B版 2 2数学电子课本 数九网




高数数学有手就行 我用欧拉公式求解不定积分 T 3 E T Costdt取实部re 虚数i 2 1有sintdt 分部积分法偷工减料节约成本 海离薇 哔哩哔哩



两角和公式 百度百科




数 円の基本 円の方程式 円の接線 を完全マスター 公式と証明を丁寧に解説します 高校生向け受験応援メディア 受験のミカタ




21考研数学高数必备公式总结 傅里叶级数 文都网校考研




高校数学 指数関数 教科書 問題 解答 公式 解説 学校よりわかりやすいサイト



14 2 2 完全平方公式 人教版八年级上册数学电子课本 数九网




高校数学 複素数と方程式 教科書 問題 解答 公式 解説 学校よりわかりやすいサイト




计算器如何输出log以2为底的对数 利用对数log换底公式 Android系统攻城狮的博客 Csdn博客 Log2为底计算器



三角函数公式 百度百科



数列公式 百度百科




不定积分是微分方程基础 我用湖南益阳桃江方言背诵李白蜀道难 高等数学三角函数万能公式二倍角公式换元法 微积分题目涉及物理力学摩擦力 Hlwrc高数 海离薇 哔哩哔哩




数学 三角関数公式一覧 ブリッジぷりんと




高一数学公式大全 完整版 高一的数学公式有哪些 高一年级 鹰羽网




考研数学高数核心知识点 泰勒公式求极限 考研数学高数资讯 新东方在线移动版




高中数学必修2 三角 三角函数常用公式及结论整理 哔哩哔哩



唯美数学公式图片 图片搜索




卡特兰数的计算 代码实现 51cto博客 卡特兰数计算公式




21年成人高考高起专 数学 重点公式及考点六 安徽成人高考网



三角函数公式 百度百科



22考研管综初数备考 数列公式 跨考考研



高中数学 等差数列求和公式有七种方法 还有一些特殊性质 你都知道吗 常数




专升本 高数公式整理大全 速速收藏 琰珑




高等数学公式 上册 下册 延锋l的博客 Csdn博客 高等数学上公式




贯穿整个高数的不等式公式大汇总 记住这些公式可能多拿5 10分 赶紧收藏起来 哔哩哔哩




考研数学必背公式 知识点如何整理 送18页数学公式pdf 高数 线代 概率 知乎



数理之路 海伦 秦九韶公式及证明 腾讯新闻




公式编辑器怎么调出来ppt中公式编辑器怎么调出来



对数公式 Chicheese的博客 Csdn博客 对数公式



高中数学 公式 技巧 例题 搞定数列专题 问题




数学 等差数列求和公式求和的七种方法 等价




初中最全数学公式定理汇总 知乎



三角函数和角公式 百度百科



Q Tbn And9gcr3lgjnn Ih8sg1ajbrybm9ydguyuz3u Ompvezrbo1 O47bfb1og Usqp Cau



Q Tbn And9gcqsdm1n Nvumikcubwvux0ey70wvaxrkhbj8s1bbjo1vxaqvgxawaa Usqp Cau



高一必修二数学公式 搜狗图片搜索




数学公式 考研数学冲刺备考 常用公式大盘点 含pde文档 知乎




常见数列求和公式 杨龙




高数常用公式 两页手写 Lora青蛙的博客 Csdn博客 数学手写公式




初中三年最全数学公式定理大汇总 最后70天冲刺21中考 建议收藏 知乎




数学人教版14 3 2 公式法课时作业 教习网 试卷下载




二进制中等比数列求和公式 一只光头猿的博客 Csdn博客 二进制等比求和



三角函数和角公式 百度百科




高中数学所有公式合集 复习必备 备考技巧 善利名师 官方网站 高考智能备考




级数2的n次方证明 Qq345oo的博客 Csdn博客




二阶导数公式推导详解 百度经验



考研数学公式大全之高等数学幂级数和三角级数



等差数列求和公式 百度百科




等比数列求和公式 性质 微观尽头的博客 Csdn博客 等比数列求和公式的性质



三角函数公式 快懂百科




数学 考研数学公式定理大总结 51cto博客 高等数学公式定理 全




数学b編 完全攻略 高校数学の公式全部まとめてみたwww Cupuasu クプアス



初中数学 公式法分解因式 你必须注意两大问题 个数 因式 公式法 新浪新闻




数学 考研数学公式定理大总结 51cto博客 高等数学公式定理 全




Excel图表排除重复值计算个数 请你来补充公式 伙伴云




一個獨中生的分享 数学公式表 考试 下载



这张初中数学公式表来得太及时了 初一到初三都能用 速收藏 初二




01 等差数列的前n项和公式等差数列的前n项和高中数学 Youtube



高数数学公式手机壁纸 搜狗图片搜索




老师熬夜最新整理 初中三年最全数学公式定理总结 可下载打印 知乎




数学2編 完全攻略 高校数学の公式全部まとめてみたwww Cupuasu クプアス



等比数列求和公式 百度百科




指考乙公式




高中数学190个重要公式及二级结论汇编 高中生必会 三年适用 考查 三角函数 大部分




6 常用的級數求和公式 合作夥伴 均一教育平台




数学 考研数学公式定理大总结 51cto博客 高等数学公式定理 全




高校数学 三角関数 Sin Cos Tan 公式一覧 変換 倍角 半角 3倍角 合成関数 学校よりわかりやすいサイト




好好學數學0629 2 B 數與式 利用數線上分點公式來比大小 Youtube



微积分 常用公式 微分方程 级数 柚子皮 的博客 Csdn博客 积分微分方程




高校数学 積分法 教科書 問題 解答 公式 解説 学校よりわかりやすいサイト




对数公式 数学公式 搜狗百科




初三复习 21章一元二次方式顶点公式复习 记住公式非常简单 备战月考 期中考试 哔哩哔哩
コメント
コメントを投稿